[最も共有された! √] 4e 5=2e 9 259295-4e+5=2e+9
Free Shipping On All Purchases over $75 Brands A F Aetrex ;(2E,4E)5(furan2yl)penta2,4dienoic acid C9H8O3 CID structure, chemical names, physical and chemical properties, classification, patents, literature, biological activities, safety/hazards/toxicity information, supplier lists, and more COVID19 Information Public health information (CDC) Research information (NIH) SARSCoV2 data (NCBI) Prevention andDan Post Boot Company Relief Notice Sign in or Create an Account Dan Post Boot Company Relief Notice
Plos Computational Biology Deciphering The Code For Retroviral Integration Target Site Selection
4e+5=2e+9
4e+5=2e+9-Buy high quality (2E,4E)5(4Methoxyphenyl)2(phenylsulfonyl)2,4pentadienenitrile from toronto research chemicals Inc Structure Search Login or Create account 0 MenuDan Post Boot Company Relief Notice Sign in or Create an Account Dan Post Boot Company Relief Notice




Solved Question 5 Use The Laplace Transform To Solve The Initial Value Problem Ly Sy 4y 2e Sx Y 3 Y 0 2 A 0 Y R 9 E 4x 3e 5 4e B 0 Y R E 4
Membership & professional community;Average mass Da;Structure, properties, spectra, suppliers and links for (2E,4E)5(1R,7S,8S,9R)7Acetoxy4,9dimethyl3,11dioxo10oxatricyclo63 1,7 Jump to main content Jump to site nav Home;
FREE SHIPPING ON ALL ORDERS Sign in or Create an Account FREE SHIPPING ON ALL ORDERSMembership & professional community;In the number 4e5, the numbers are defined as follows 4 = coefficient e = 10 to the power of 5 = exponent The scientific notation 4e5 is same as 4 x 10^5 or 4 x 105 Thus, to get the answer to 4e5 as a decimal, we multiply 4 by 10 to the power of 5 = 4e5 = 4 × 105 = Therefore, 4e5 number on calculator means or 4e5 in decimal form is Here are some examples
Turnpike Comfort Footwear specializes in custom shoes that fit Come try out our wide selection of comfortable footwear in Queens or shop online!7e3=4e5 One solution was found e = 2/3 = 0667 Rearrange Rearrange the equation by subtracting what is to the right of the equal sign from both sides of the equation 👍 La respuesta correcta es a la pregunta 4e5=2e9 comprobación irespuestadetareacom




Tomi Digital Mas Ecuaciones



Plos One Peritoneal Tumor Carcinomatosis Pharmacological Targeting With Hyaluronan Based Bioconjugates Overcomes Therapeutic Indications Of Current Drugs
(2E,4E)5Phenylpenta2,4dien1OL C11H12O CID structure, chemical names, physical and chemical properties, classification, patents, literatureSimple and best practice solution for 4e3e2e=19 equation Check how easy it is, and learn it for the future Our solution is simple, and easy to understand, so don`t hesitate to use it as a solution of your homework If it's not what You are looking for type in the equation solver your own equation and let us solve it Equation SOLVE Solution for 4e3e2e=19 equation Simplifying 4eJournals, books & databases;



Plos One Kinesin Light Chain 1 Suppression Impairs Human Embryonic Stem Cell Neural Differentiation And Amyloid Precursor Protein Metabolism




Solved Question 5 Use The Laplace Transform To Solve The Initial Value Problem Ly Sy 4y 2e Sx Y 3 Y 0 2 A 0 Y R 9 E 4x 3e 5 4e B 0 Y R E 4
Monoisotopic mass Da;(2E,4E)5(4(Dimethylamino)phenyl)penta2,4dienal C13H15NO CID structure, chemical names, physical and chemical properties, classification, patents, literature, biological activities, safety/hazards/toxicity information, supplier lists, and more COVID19 Information Public health information (CDC) Research information (NIH) SARSCoV2 data (NCBI) Prevention and New Balance Shoes 2E and 4E Width For New balance shoes, generally, there’s a difference of around ½ inch or 127 cm between 2E and 4E shoes width If you keep the shoes width the same and only go for a half size up, there would be about 03 cm of width difference between those two sizes You can also check out my guide on New Balance shoes




Cas 812 67 9 2e 4e 5 Benzo 1 3 Dioxol 5 Yl 2 Methyl Penta 2 4 Dienoic Acid Methyl Ester Chemsrc




China Low Price 2 1e 3e 5e 7e 9 2e 4e 6e 8e 3 7 Dimethyl 9 2 6 6 Trimethylcyclohexen 1 Yl Nona 2 4 6 8 Tetraenoxy 3 7 Dimethylnona 1 3 5 7 Tetraenyl 1 3 3 Trimethylcyclohexene Manufacturers Suppliers Factory Direct Wholesale Globalchemmall
Messi 2e, Mesut Ozil 4e les 5 joueurs avec le plus de passes décisives dans le football international 29 mars 22 Momar Touré No Comments Advertisements Les passes décisives sont généralement considérées comme un bon indicateur de la créativité et de l’efficacité d’un joueur dans le dernier tiers Advertisements La contribution directe au but, qu’il s’agisse de(2E,4E)5(1R,7S,8R,9R)7Hydroxy4(methoxycarbonyl)9methyl11oxo10oxatricyclo63 1,7tridec3en9yl2methyl2,4pentadienoic acid Molecular Formula C 21 H 26 O 7;FREE SHIPPING ON ALL ORDERS Sign in or Create an Account FREE SHIPPING ON ALL ORDERS




Solved 9 Let H 5 2e Find 9 A 5 2e 9 B In 7 C Chegg Com



2e 4e 5 2s 3r 6s 8r 9s 3 Butyl 3 3 Carboxypropanoyloxy 8 2e 4e 6s 7s 8e 6 Hydroxy 10 Methoxy 3 7 Dimethyl 10 Oxodeca 2 4 8 Trienyl 9 Methyl 1 7 Dioxaspiro 5 5 Undecan 2 Yl Penta 2 4 Dienoic Acid C36h52o11 Pubchem
Structure, properties, spectra, suppliers and links for (4E)5Hydroxy4{(2E,4E,6R)1hydroxy4methyl6(3R,4S)1,4,8trimethyl2,9dioxabicyclo33 Jump to main content Jump to site nav Home;Simple and best practice solution for 4e5=2e9 equation Check how easy it is, and learn it for the future Our solution is simple, and easy to understand, so don`t hesitate to use it as a solution of your homework If it's not what You are looking for type in the equation solver your own equation and let us solve it Equation SOLVE Solution for 4e5=2e9 equation 4e5=2e9 We moveJournals, books & databases;



Copernicus Eu Nitrogen Dioxide Levels On 21 August Over London The Rhine Ruhr Metropolitan Region And Southern Netherlands No Comment Other Than Noting That Our Sentinel5p Is Really A Game Changer



Lycee Bel Val Organisation 4e 3e 2e Regime Technique Facebook
Locations & contacts ;FREE SHIPPING ON ALL ORDERS Sign in or Create an Account FREE SHIPPING ON ALL ORDERSIndustrial Footwear sells a fullrange of safety shoes and boots for your workforce Based in Warren, Michigan with online sales (586)



Plos One Human Papillomavirus 16 E5 Modulates The Expression Of Host Micrornas




Iterative Multilinear Optimization For Planar Model Fitting Under Geometric Constraints Peerj
Brands G R Haflinger ;Locations & contacts ;




Solved 3 Points In This Problem You Will Solve The Chegg Com




2e 4e 2 5 9 Trimethyldeca 2 4 Dienal Molecular Weight C13h22o Over 100 Million Chemical Compounds Mol Instincts




Sce Hotspots In Common Fragile Sites Related To Fig 1 Download Table



2e 4e 6e 8e 9 1s 2r 4as 5s 6s 8ar 2 2e 2 Buten 2 Yl 5 Hydroxy 1 3 6 Trimethyl 1 2 4a 5 6 7 8 8a Octahydro 1 Naphthalenyl 2 4 6 8 Nonatetraenoic Acid C26h36o3 Chemspider



2e 4e 6r N 1s 2s 3s 5s 1 Chloro 2 5 Dihydroxy 9 Methoxy 7 Methyl 8 Oxobicyclo 3 3 1 Non 6 En 3 Yl 4 6 Dimethyl 2 4 Dodecadienamide C25h38clno5 Chemspider



Se Phenyl 2e 4e 5 9 Dimethyl 2 4 8 Decatrieneselenoate C18h22ose Chemspider



4e 5 Hydroxy 4 2e 4e 6r 1 Hydroxy 6 3r 4r 6s 6 Hydroxy 1 4 8 Trimethyl 2 9 Dioxabicyclo 3 3 1 Non 7 En 3 Yl 4 Methyl 2 4 Heptadien 1 Ylidene 2 4 Dihydro 3h Pyrrol 3 One C22h29no6 Chemspider




Ester Etilico Del Acido 2e 4e 6z 8e 9 Benzo B Tiofen 2 Il 3 7 Dimetil Nona 2 4 6 8 Tetraenoico Cas 3122 78 5 Proveedor De Fabricante Wakschem Com




Pdf A Multi Population Cooperative Coevolutionary Algorithm For Multi Objective Capacitated Arc Routing Problem Semantic Scholar



Plos One A Linked Land Sea Modeling Framework To Inform Ridge To Reef Management In High Oceanic Islands




Significant Age Effects On Vs Pos Identified In The Dorsal Top And Download Scientific Diagram



6 7 Dihydroxy 8 Hydroxymethyl 4 18 Dimethyl 5 Oxo 14 Phenyl 16 Prop 1 En 2 Yl 9 13 15 19 Tetraoxahexacyclo 12 4 1 01 11 02 6 08 10 012 16 Nonadec 3 En 17 Yl 2e 4e 5 Phenylpenta 2 4 Dienoate C38h38o10 Pubchem



2




Ols Estimation Without Correction For Sample Selection Download Scientific Diagram




4e 5 2e 9 Ayudenme Por Favor Nesesito El Procedimiento Brainly Lat




Cas 38 9 2e 4e 5 4 Methoxy 2 3 6 Trimethylphenyl 3 Methylpenta 2 4 Dienal Chemsrc




2e 4e 5 Phenyl 2 4 Pentadienoic Acid 1552 94 9 C11h10o2 Density Melting Point Boiling Point Structural Formula Synthesis



Solved For Exercises 7 18 Solve For A Using Logs 9 50 Chegg Com



2e 4s 5r 6e 8e 10 2r 5s 8s 9r 2 Butyl 2 1s 2e 4e 5 Carboxy 1 3 Carboxypropanoyloxy 4 Methylpenta 2 4 Dienyl 8 Methyl 1 10 Dioxaspiro 4 5 Decan 9 Yl 5 Hydroxy 4 8 Dimethyldeca 2 6 8 Trienoic Acid C36h52o11 Pubchem



5z 5 2e 4e 6e 8e 10e 11 3r 4s 3 4 Dihydroxy 2 6 6 Trimethyl 1 Cyclohexen 1 Yl 2 9 Dimethyl 2 4 6 8 10 Undecapentaen 1 Ylidene 3 E 2 1r 2r 4s 2 Hydroxy 2 6 6 Trimethyl 7 Oxabicyclo 2 2 1 Hept 1 Yl Vinyl 2 5h Furanone C37h48o6




Ansys Sherlock Project And Libraries Youtube



2e 4e 2 4 Dimethyl 5 6 6 9 9 Tetramethyl 4 Oxo 6 7 8 9 Tetrahydro 4h Benzo G Chromen 3 Yl Penta 2 4 Dienoic Acid C24h28o4 Pubchem



Methyl 2 2e 5e 6 2e 4e 10e 7 9 Dimethoxy 3 6 8 Trimethyl 11 Phenylundeca 2 4 10 Trienoyl Amino Hexa 2 5 Dienoyl Amino Acetate C31h42n2o6 Pubchem




Nanometer Scale Mapping Of Irreversible Electrochemical Nucleation Processes On Solid Li Ion Electrolytes Scientific Reports




Ethyl 2e 4e 5 9 Dimethyl 2 4 8 Decatrienoate 95 7 C14h22o2 Density Melting Point Boiling Point Structural Formula Synthesis




Solved Let F X 4e 21 Find The Antiderivative F X With Chegg Com



Plos One The Orphan G Protein Coupled Receptor Gene Gpr178 Is Evolutionary Conserved And Altered In Response To Acute Changes In Food Intake



Solved Solve Each Equation Round Your Answers To The Chegg Com




Ejercicio De Collecting Like Terms




Dynamic Transcriptomic Profiles Of Zebrafish Gills In Response To Zinc Supplementation Bmc Genomics Full Text




Immc Swd final Eng Xhtml 1 En Autre Document Travail Service Part1 V3 Docx




Simultaneous Determination Of All Roots F 5 H Download Scientific Diagram



Ethyl 2e 4e 5 9 Dimethyl 2 4 8 Decatrienoate C14h22o2 Chemspider




A Time Filtering Method For Plasma Simulation High Bulk Conductivity Sciencedirect



2 E 2e 4e 5 3s 5r 8r 9s 10s 13r 14s 17r 3 14 Dihydroxy 10 13 Dimethyl 1 2 3 4 5 6 7 8 9 11 12 15 16 17 Tetradecahydrocyclopenta A Phenanthren 17 Yl Penta 2 4 Dienylidene Amino Guanidine C25h40n4o2 Pubchem



5 Hydroxy 4 2e 4e 6r 4 Methyl 6 1r 2s 4r 6r 7r 8r 1 2 7 Trimethyl 5 Oxo 3 9 10 Trioxatricyclo 4 3 1 0 Sup 2 4 Sup Dec 8 Yl 2 4 Heptadienoyl 1 2 Dihydro 3h Pyrrol 3 One C22h27no7 Chemspider




Maxent Model For Xylella 1




Energies Free Full Text Cfd Analyses Of Textured Surfaces For Tribological Improvements In Hydraulic Pumps Html



2e 4r 4 1r 3as 4e 7ar 4 2e 2 3s 5r 3 5 Bis Tert Butyl Dimethylsilyl Oxy 2 Methylenecyclohexylidene Ethylidene Octahydro 7a Methyl 1h Inden 1 Yl 1 Cyclopropyl 2 Penten 1 One 17 9



Solved 3 In Which Of The Following Reactions Will Kp Kc Chegg Com




Pdf A Numerical Approach To Solve Eighth Order Boundary Value Problems By Haar Wavelet Collocation Method Semantic Scholar




Solved Point In This Problem You Will Solve The Nonhomogeneous System 5 2e Y 9 Jv L 4e S A Write A Fundamental Matrix For The Associated Homogeneous System 1 B



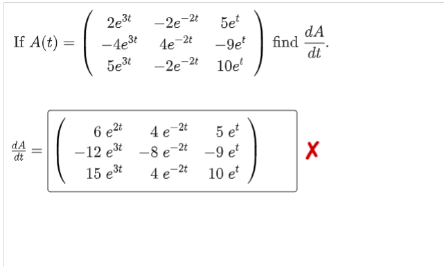
Solved If Alt 2e3t 4e3t 5e3t 2e 2 4e 5e 9et 2e 2t Chegg Com




3d Large Scale Transient Electromagnetic Modeling Using A Shift And Invert Krylov Subspace Method Sciencedirect




Calculated Mobilities Mol M 2 J 1 S 1 Of Major Alloying Elements Download Scientific Diagram




Page 4 E 9 27 52 High Resolution Stock Photography And Images Alamy



2e 4e 5 3s 6s 9r 10r 11s 12s 13e 15e 18s 10 12 Dihydroxy 3 3 Hydroxyphenyl Methyl 6 Isopropyl 11 Methyl 2 5 8 Tetraoxo 9 3 Oxobutyl 19 Oxa 1 4 7 25 Tetrazabicyclo 19 3 1 Pentacosa 13 15 Dien 18 Yl N Methoxy N Methyl Hexa 2 4 Dienamide




Energies Free Full Text A Polynomial Approximation To Self Consistent Solution For Schr Ouml Dinger Ndash Poisson Equations In Superlattice Structures Html




30 Ecuaciones 3 Ayuda Para Tu Tarea De Matematicas Sep Secundaria Primero Respuestas Y Explicaciones




Pdf On The Error In The Product Qr Decomposition Semantic Scholar




Solved Day Two 4 Solve The Initial Value Problem Y 4e 2e I Y O 1 5 Find The General Solution To 2x Y Dx Dy L Y2 Dx 6 Find The General Solution To Solve The




Pdf A Fast 3d Poisson Solver Of Arbitrary Order Accuracy Semantic Scholar




Eur Lex 519sc0630 En Eur Lex




4e 5 2e 9 Comprobacion Brainly Lat



Ethyl 2e 4e 5 9 Dimethyl 2 4 8 Decatrienoate C14h22o2 Chemspider



Solved Let 9 4 P 15 5 0 Ay To 5 0 2e3 Chegg Com




Rcsb Pdb 6zwi Human Butyrylcholinesterase In Complex With 6 2e 4e 5 Benzo D 1 3 Dioxol 5 Yl Penta 2 4 Dienamido Hexyl Triphenylphosphonium Bromide



Plos Computational Biology Deciphering The Code For Retroviral Integration Target Site Selection



Plos One Shoulder Kinematics And Spatial Pattern Of Trapezius Electromyographic Activity In Real And Virtual Environments



Advaita Bioinformatics Publicaciones Facebook



Copernicus Eu Heatwave Usually Rhymes With Pollution Alarming Nitrogen Dioxide Levels In Paris Madrid Lisboa London Cologne Antwerp Rotterdam As Seen Yesterday By Our Sentinel5p Airquality Space Based Monitor Canicule



4e 5 Hydroxy 4 2e 4e 6r 1 Hydroxy 6 3r 4r 6r 6 Hydroxy 1 4 8 Trimethyl 2 9 Dioxabicyclo 3 3 1 Non 7 En 3 Yl 4 Methyl 2 4 Heptadien 1 Ylidene 2 4 Dihydro 3h Pyrrol 3 One C22h29no6 Chemspider




Pdf A New Efficient Method For Solving Two Dimensional Burgers Equation Semantic Scholar




Fine Tuning Of The Pax Six Eya Dach Network By Multiple Micrornas Controls Embryo Myogenesis Sciencedirect




Numerical Simulation Of Multi Size Bubbly Flow In A Continuous Casting Mold Using Population Balance Model Sciencedirect



Plos One Putative Regulatory Factors Associated With Intramuscular Fat Content




38 9 Cas Msds 2e 4e 5 4 Methoxy 2 3 6 Trimethylphenyl 3 Methylpenta 2 4 Dienal Melting Point Boiling Point Density Cas Chemical Properties



2 2e 4e 5 1r 7s 8s 9r 7 Acetyloxy 4 Methoxycarbonyl 9 Methyl 11 Oxo 10 Oxatricyclo 6 3 2 01 7 Tridec 3 En 9 Yl 2 Methylpenta 2 4 Dienoyl Amino Acetic Acid C25h31no9 Pubchem



Copernicus Eu With Heat Waves Usually Comes Pollution Episodes Look At Nitrogen Dioxide Levels In Holland Belgium Germany Paris As Seen Last Friday By The Tropomi Instrument Of Our Sentinel5p




The Analytic Continuation Process From Computer Algebra To Numerical Analysis Semantic Scholar




Pdf Variation Of Parameters Method For Initial And Boundary Value Problems Semantic Scholar



2e 4e 6e N 1s 2 Phenyl 1 3s 7s 9r 13s 16s 19s 9 13 16 17 Tetramethyl 2 6 12 15 18 Pentaoxo 5 Oxa 1 11 14 17 Tetraazatricyclo 17 3 0 0 Docosan 3 Yl Carbamoyl Ethyl Octa 2 4 6 Trienamide In Stock




Mse Of The B Parameter Estimates In The Fe And Pql Approaches For The Download Table




The Analytic Continuation Process From Computer Algebra To Numerical Analysis Semantic Scholar




Ejercicio De Ecuaciones De Primer Grado 2




Solved 2e 9 4 E 3x Dx 5 E 6 X 2 33eru 2e3x 5 3 C 2 5 E 3 28 C 2 5 3 E 3 27 C 2 0 5 3 E 3 27 C




Metil 2e 4e 3 Metil 5 3 Hidroxi 2 6 6 Trimetilciclohex 1 En 1 Il 2 4 Pentadienoato Cas 362 47 9 Proveedor De Fabricante Wakschem Com



401 10 5 2s 3s 4s 5r 6s 6 2e 4e 6e 8e 3 7 Dimethyl 9 2 6 6 Trimethylcyclohex 1 En 1 Yl Nona 2 4 6 8 Tetraenoyl Oxy 3 4 5 Trihydroxytetrahydro 2h Pyran 2 Carboxylic Acid Non Preferred Name 4 Cas Cas




Computational Simulation Of Fluorinated Methane Derivatives In Type I Clathrate Hydrate Sciencedirect



2r 3r 4s 7s 8r 4 2e 4e 5 Phenylpenta 2 4 Dienyl Tetracyclo 5 4 0 02 5 03 9 Undec 10 Ene 8 Carboxylic Acid C23h24o2 Pubchem



Plos One Pathogenic Adaptations Of Colletotrichum Fungi Revealed By Genome Wide Gene Family Evolutionary Analyses



2e 4e Hexa 2 4 Dienoic Acid 5r 9as 9bs 1 9b Dihydroxy 6 6 9a Trimethyl 1 3 5 5a 6 7 8 9 9a 9b Decahydro Naphtho 1 2 C Furan 5 Yl Ester C21h30o5 Pubchem



Document Sans Titre




2e 4e 5 2s 3r 6s 8r 9s 8 2e 4e 6s 7s 6 8 Dihidroxi 3 7 Dimetil Octa Ester 2 Trimetilsilanil Etilico Del Acido 2 4 Dienil 3 9 Dimetil 1 7 Dioxa Espiro 5 5 Undec 2 Il 3 Metil Penta 2 4 Dienoico Cas 63 5 Proveedor



Plos One Host Specific And Ph Dependent Microbiomes Of Copepods In An Extensive Rearing System




4 8 12 Tetradecatrienoicacid 5 9 13 Trimetil 2e 3 7 Dimetil 2 6 Octadien 1 Ilo Ester 4e 8e Cas 51 77 4 Bossgoo Com




Page 4 E 9 27 52 High Resolution Stock Photography And Images Alamy



2e 4e 5 9 Dimethyl 1 1 Pyrrolidinyl 2 4 8 Decatrien 1 One C16h25no Chemspider
コメント
コメントを投稿